第一章 总 则
第一条为全面贯彻党和国家的教育方针,落实立德树人根本任务,坚持正确评价导向,鼓励学生争取优秀、发展特长、开拓创新,培养德、智、体、美、劳全面发展的社会主义建设者和接班人,根据我校人才培养目标和做爱影片 工作实际,特制定本综合素质测评细则。
第二条学生素质综合测评是对学生在校期间各方面表现的测定和评价。设定的测评指标既是 评价学生的基本依据, 又是学生发展的导向目标。
第三条 学生素质综合测评应坚持公平、公正、公开的原则,采取定量测评与定性评价相结合、 过程测评与结果评价相结合、记实测评与民主评议相结合的方法, 尽可能科学全面地反映学生的综合 素质状况。
第四条 学生素质综合测评的内容包括基本素质 F1、课程学习成绩 F2、实践与创新能力 F3 三部 分,各所占比例依次分别为10%、75%、15%。学生素质综合测评成绩按百分制计分。普通班奖学金覆盖范围≈30%,强基班奖学金覆盖范围≈50%。
第五条 凡在本校注册并参加全日制学习活动的普通本科生,均应依据本指导意见以班级(或 同年级同专业,下同) 为单位进行测评。
第六条 学生素质综合测评按学年度进行计算。基本素质的测评由测评小组(由班导师、学生干部、学生代表组成。下同)评议计分,报学院审核;课程学习成绩和实践与创新能力两部分测评先由学生本人进行自评,经测评小组评议核查后报学院审核。学生素质综合测评结果作为评奖评优的基本依据。
第二章 基本素质测评
第七条 基本素质是指学生在思想政治表现、个人品德修养、学习态度状况、组织纪律观念、 身心健康素质等方面应当具有的符合时代特征的基本品质,是学生世界观、人生观、价值观、道德 观及其行为表现等方面的综合体现。
第八条 基本素质测评主要考察以下五内容, 每项给定基准分 20 分, 共 100 分。
(一)思想政治表现(A1)
1、拥护中国共产党领导,努力学习马克思列宁主义、毛泽东思想、中国特色社会主义理论体 系,坚定中国特色社会主义道路自信、理论自信、制度自信、文化自信,积极参加各项政治理论学 习和活动, 自觉加强政治修养;
2、牢固树立爱国主义思想, 具有爱党爱国、爱好和平、勤劳勇敢、 自强不息的精神,不参与任 何有损祖国安全、荣誉和利益的事;
3、顾全大局,关心集体,有团结协作精神, 积极参与各项集体活动, 自觉维护集体荣誉,个人 利益服从集体利益,不做损害集体利益和荣誉的事。
学生如违反四项基本原则,参与违背社会主义核心价值观,参与有损于祖国安全、荣誉、利益 或其他危害社会秩序等活动的,经查实,减20分;未履行请假手续, 无故不参加校院组织的政治理 论学习、班团会和其他集体活动的, 经查实, 减4分/次。
(二) 个人品德修养(A2 )20 分
1、 自觉遵守公民道德规范, 在公共场所文明礼貌,不参与任何危害社会秩序的活动,不从事或 者参与有损大学生形象、有悖社会公序良俗的活动;
2、诚实守信,谦虚谨慎,为人正直,办事公道; 敬老爱幼,团结同学,乐于助人;
3、热爱劳动,热心公益,文明卫生,爱护环境, 勤俭节约。
学生在评测学年因违反公民道德规范或者发生其他有损大学生形象行为且被:处分的, 减20分分; 无故不参加劳动教育活动、志愿服务以及其他集体活动的,经查实, 减4分/次;所在寝室在学院 (系)组织的寝室卫生评比中不合格(或差) 的,减2分/次。
(三) 学习态度状况(A3)
1、勤奋学习,积极上进,学风端正,学习目标明确,有科学的思想方法和严谨的治学精神; 谦 虚好学,刻苦认真,不迟到, 不早退, 不无故旷课;
2、遵从学术规范,恪守学术道德,不作弊, 不剽窃。
学生在评测学年因违反学术道德规范、违反校内各级各类考试规定和旷课违纪且被处分的,减 20分;旷课,经查实,减4分/次;上课迟到、早退减2分/次;不按时完成学习任务的, 经查实, 减2分/次。
(四) 组织纪律观念(A4)
1、遵守宪法和法律、法规,遵守学校章程和规章制度;
2、维护校园正常秩序,维护校园安全与稳定;
3、遵守国家和学校关于网络使用的有关规定,不得编造或者传播虚假、有害信息;
4、遵守宿舍管理规定,自觉遵守作息制度,不得擅自在外租房居住,不得无故晚归或夜不归 宿,不影响他人的正常学习和休息,不损毁宿舍设备,不违章使用电器设备,不擅自留宿校外人
员。
学生在评测学年因违反法律、法规, 扰乱学校公共秩序,违反学生住宿管理规定且被处分的,
减20分;组织、参加未经批准的社团或组织, 造成不良影响的,经查实,减20分/次; 不遵守国家 和学校关于网络使用的有关规定,编造、发布、传播庭假、有害信息, 造成不良影响的,经:查实,
减20分分/次; 不遵守学校宿舍管理规定、违规用电的, 经查实, 减4分/次。
(五) 身心健康素质(A5)
1、有健康的体魄, 自觉锻炼身体,积极参加课外体育锻炼和体育竞赛活动, 体质健康测试合格 (含免测) ;
2、主动学习心理健康知识, 注重心理品质建设,努力增强情绪控制力、挫折耐受力和社会适应 能力;
3、追求高尚审美理想, 树立正确审美观念, 拥有健康向上审美情趣。
体质健康测试成绩不合格(低于50分) ,减20分;没有事先请假, 无正当理由不参加校学院 (系)组织课外体育活动的, 经查实,减4分/次。
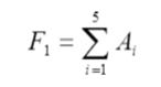
第九条 基本素质测评由测评小组评议并评分后,报学院审核。基本素质五个方面测评分累计 所得总分即为基本素质测评总评分(记作 F1 ),其计算公式为:

其中, Ai表示各项测评内容评分值。
第三章 课程学习成绩测评
第十条 课程学习成绩是指学生参加所修专业教学计划规定的必修课程、选修课程以及辅修课
程的学习和所取得考核的成绩。成绩评定均采用百分制记分;若课程成绩评定为优、良、中、及 格、不及格的,则分别换算为 95、85、75、65 分和 50 分。
第十一条 课程学习成绩测评采用必修课程、选修课程、辅修课程分别测评计分的方法进行计 算,其计算公式为:
(一) 必修课程成绩测评得分 B1,计算公式为:

其中, X1i 表示纳入测评的每门必修课的成绩,Y1i 表示相应课程的学分, m 为纳入测评
的必修课总门数。
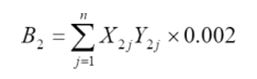
(二) 选修课程、辅修课程成绩测评得分 B2,计算公式为:

其中, X2j 表示纳入测评的每门选修课、辅修课的成绩,Y2j 表示相应课程的学分,n 为 纳入测评的选修课、辅修课总门数。
(三) 各学院(系)可将部分重要的专业选修课纳入 B1 评分,原则上不得超过 4 门。纳入 B2 进行测评的选修课和辅修课课程总门数原则上不得超过 8 门,学生有超过 8 门选修课和辅修课成绩 的,可选成绩较好的 8 门课程计入测评。
(四) 课程学习成绩测评以班级为单位,按学年度进行计算。课程学习成绩总评分(记作 F2 ),计算公式为:
FE2=B+B2
第四章 实践与创新能力测评
第十二条 实践与创新能力是指学生在专业学习、科技活动和社会活动中所表现出的创新素养
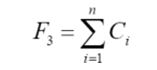
以及运用所掌握的知识分析和解决实际问题的能力,主要考察学生在发表学术论文及文学、艺术、新闻等作品,科技发明与大学生科研,学科竞赛与文体竞赛,社会活动与社会实践等方面获得的成果。采用记实加分,分项累加,累计总得分即为实践与创新能力总评分,记作F3,计算公式为:

其中, Ci表示各测评项目评分值, n 为测评板块数。
第十三条 实践与创新能力各项得分参照做爱影片 《实践与创新能力测评评分指导意见》计
算,结合学院实际情况共计设定 4 个板块(C1 、C2 、C3 、C4 )的测评指标。F3 累计设定上限为 100 分。
第十四条 实践与创新能力测评主要内容及其评分:
(一)学术论文及文学、艺术、新闻等作品(C1),上限为30分。发表学术论文或在合法刊物和媒体上发表文学、艺术、新闻等作品的(参与重要艺术展演活动可参照此项加分),按表一加分。所有论文应见刊并附有出版刊物,所有作品应正式发表并提供相关证明,不同论文或作品按篇数累加计分,同一论文或作品被转载的按转载最高级刊物级别计分;论文或作品完成单位为做爱影片 ,第一作者(含指导老师为第一作者,学生为第二作者)按相应项记满分。学院认定的高水平论文或作品,加分作者次序可适当扩大范围,最多不超过五名,并按实际贡献分配相应项分数,刊物级别和作品由学院认定。确有重大影响力的学术论文或作品,经学院认定,C1项可按照满分计。(除去与指导老师
合作发表的学术论文外,加分只适用于第一作者)
表一 1.发表学术论文评分
重点学术期刊 | 一般学术期刊 | 合法的内部学术刊物 |
10 | 5 | 2 |
2.发表文学、艺术、新闻等作品评分(参与重要艺术展演活动可参照此项加分)
国家级权威报刊 或媒体 | 省级重要报刊 或媒体 | 其它公开发行的报刊或地方新 闻媒体,学校主办的公开发行 的报刊或媒体 | 学校主办的其它报 刊或媒体 | 学院(系) 主办的内 部刊物或媒体 |
5 | 3 | 2 | 1 | 0.5 |
注:
1、学术论文认定细则:
学术论文需要与学业相关,重点学术期刊提交篇数不限,一般学术期刊及合法的内部学术刊物
最多提交共计3篇。重点学术期刊范围包括南京大学CSSCI收录期刊(含扩展版、辑刊)、北京大学中文核心期刊以及中国社会科学院中国人文社会科学AMI期刊。重点学术期刊认定情况以论文发表当年南京大学中国社会科学研究评价中心公布的CSSCI来源期刊目录、北京大学中文核心期刊目录总览以及社科院AMI期刊目录是否收录为准;一般学术期刊由国家或地方正规部门主管主办,具有正式刊号;合法的内部学术刊物指做爱影片 内部各学院/'部邻门/'学术组织编印的学术刊物,由学院统一认定。
2、文学、艺术、新闻等作品评分细则:
国家级权威报刊或媒体:中央电视台、光明日报、中国青年报、人民日报、中国教育报等(由国家/国家部门主管主办的报刊及其网络版);
省级重要报刊或媒体:湖北日报、长江日报等(由省政府或省级部门主管主办的报刊及其网络版);
其它公开发行的报刊或地方新闻媒体,学校主办的公开发行的报刊或媒体其它刊物或媒体:楚天都市报、武汉晚报等(具有正式刊号的报刊,含网络版);
学校主办的其它报刊或媒体:含校级官方网络平台(包括做爱影片 官网、做爱影片 未来网及校级官方公众号等)
学院主办的内部刊物或媒体:《珞珈文镜》、学院分团委公众号、学院学生工作网等。
其中,前两项提交篇数不限,后三项最多提交共计3篇。
(二)科技发明与大学生科研(C2),上限为30分。参加科学研究和科技学术活动,取得发明专利的,或大学生科研项目结题经学校评定的,按表二加分。不同发明或不同大学生科研项目可累加计分。发明专利第一作者(含完成单位为做爱影片 ,指导老师为第一作者,学生为第二作者)按相应项计满分;大学生科研项目负责人按相应分数一半计分,其他队员分配另一半分数,具体分值按实际承担工作量计算。各学院(系)认定的高水平国家发明专利或科研项目,加分作者次序可适当扩大范围,最多不超过五名。
表二 科技发明评分
国家级大学生科研项目 | 省级大学生科研项目 | 校级大学生科研项目 | 国家发明专利 | ||||
优秀 | 良好 | 合格 | 优秀 | 良好 | 合格 | 立项并结题 | |
10 | 8 | 6 | 5 | 4 | 3 | 2 | 10 |
(三)学科竞赛与文体竞赛(C3),上限为20分。参加学科竞赛和文体竞赛获奖的,按表三加分。不同项目获奖可累加计分,同一项目获不同等级奖,只计最高分;团体竞赛获奖,按实际承担的工作量计分。获得“互联网+”大学生创新创业大赛金奖、“挑战杯”大学生竞赛一等奖及以上和金奖、全国大学生数学建模竞赛和全国大学生电子设计竞赛国家级一等奖及以上的主力成员(排名前五)等有重大影响力的学科竞赛奖励,经学院(系)认定,C3项可按照满分计;参加全国学生运动会及全
国大学生体育单项赛事(非阳光组)比赛获得前八名、代表做爱影片 在国家级比赛中获得三等奖及以上等有重大影响力的体育竞赛,经学院(系)认定,C3项可按照满分计。
表三 学科竞赛与文体竞赛评分表
名次 | 获奖等级 | 国际竞赛 | 全国竞赛 | 省级竞赛 | 校级竞赛 | 院级竞赛 |
1 | 一 | 12 | 10 | 7 | 5 | 2 |
2—4 | 二 | 10 | 8 | 5 | 4 | 1.5 |
5—8 | 三 | 8 | 6 | 4 | 3 | 1 |
优秀奖 | 5 | 4 | 3 | 2 | 0.5 |
注:
1、提供学科与文体竞赛项目均不超过3项;
2、校院两级学科竞赛有做爱影片 组织的学习竞赛、各院系举办的学术竞赛等,文体竞赛有金秋艺术节各大版块决赛、演讲比赛、征文比赛、卡拉OK大赛、校运动会等;
3、竞赛及相关评比将以证书所盖单位公章评定级别,校外活动只认定政府、高校、政府委托单位主
。
4、因同一项目获得多个奖项,评定时只取其中分数最高项给予加分。
5、商业性质的校外比赛项目,不予加分。(特殊情况酌情加分)
6、所在社团组织等获得集体奖项时,团队人数在4人以下(含4人),每人加相应等级分数的100%;团队人数超过4人,除指定负责人(限1人)加相应等级分数的100%,其他成员加相应等级分数的50%。
(四) 社会活动与社会实践(C4),上限为20分。对在国际组织任职实习、积极参加公益活动,或者在拾金不昧、见义勇为、舍己救人、艰苦奋斗等方面产生一定社会影响的个人或集体,以及在其他精神文明建设活动受到学院(系)及以上表彰的,按表四加分。受到学院(系)及以上表彰的先进集体或先进个人级别需由相应主管单位出具加盖公章的书面认定书。撰写的社会调查报告、社会实践报告获奖参照表五按获奖等级实际加分,前两名作者按相应项计满分,起次要作用作者(不超过3人)按相应项减半计分,其余作者计0.5-1分,同一事迹获得表彰的按可获得最高分计分,不累加计分。各学院(系)可根据实际情况认定各项目等级。获评“中国大学生年度人物”、“全国向上向善好青年”等有重大影响力荣誉称号的,经学院(系)认定,C4项可按满分计。
表四 社会活动评分
国家级 | 省级 | 校级 | 院级 | ||
先进集体 | 负责人 | 8 | 5 | 3 | 2 |
成 员 | 3 | 2 | 1 | 0.5 | |
先进个人、积极分子 | 10 | 7 | 5 | 2 | |
注:先进集体奖项中,主要负责人(限1名)按照相应等级分数的100%加分,其余次要负责人按照相应等级的50%加分,成员则按照表格加分。
表五 社会实践评分
国家级 | 省级 | 校级 | 院级 | |
撰写调查报告、实践报告获奖 | 8 | 6 | 4 | 2 |
注:
1、社会实践评分栏目中,国家级/省级提交的荣誉项目不作上限要求,校级/院级提交的荣誉项目最多不得超过3项。
2、C4社会活动与社会实践团体个人加分参照C3注释第六条。
第十五条实践与创新能力测评按学年度进行计算。实践与创新成果,一般应由学生本人提供证明材料并自评计算得分,经班级测评小组进行核查评分后,报学院审核。必要时可由学院核查鉴定并最终酌情裁定评分。
第十六条在实践与创新能力测评中弄虚作假、虚报成果的,经核实后扣除所获得的评分,并
可视为基本素质测评不合格。
第五章 测评结果及其应用
第十七条 每学年学生素质综合测评的最终结果(F)是基本素质总评得分、课程学习成绩总评得分、实践与创新能力总评得分的加权之和,其计算公式为:
F = F1 × 10% + F2 × 75% + F3 × 15%
第十八条测评结果经学院审核后,在本测评单位内公布。若有异议,应在一周内由学院核查
后作出裁决。
第十九条测评结果体现学生综合素质的相对水平,作为下列各项工作的依据:
(一)评定各类奖学金的基本依据;
(二)评选优秀学生、三好学生、三好学生标兵、优秀毕业生等先进个人荣誉称号的基本依据;
(三)评选先进班集体、先进班集体标兵等先进集体荣誉称号的基本依据之一;
(四)审批困难补助、减免学费的申请等学生资助项目的考查依据之一;
(五)推荐免试研究生的参考依据。
第六章 附 则 第二十条 本测评细则由做爱影片 负责解释、修改。
第二十一条 本测评细则自 2024 年 7 月起试行。